Vergleich

EPZ004777

ArtNr V0401-25mg
Hersteller InvivoChem LLC
CAS-Nr. 1338466-77-5
Menge 25 mg
Quantity options 100 mg 10 mg 250 mg 2 mg 500 mg 50 mg 5 mg
Kategorie
Typ Biochemicals
Specific against other
ECLASS 10.1 32160490
ECLASS 11.0 32160490
UNSPSC 12000000
Alias 1338466-77-5
Lieferbar
Description
InvivoChem Cat #:V0401CAS #:1338466-77-5 (free)Purity >=98%

Description: EPZ004777 (EPZ-004777) is a potent and selective inhibitor of DOT1 Like Histone Lysine Methyltransferase (DOT1L) inhibitor with antineoplastic activity. It inhibits DOT1L with an IC50 of 0.4 nM in a cell-free assay. It shows potent in vitro antiproliferative activity and high in vivo antitumor efficacy. Exposure of leukemic cells to EPZ 004777 laed to selective killing of cells bearing MLL gene translocation, with little effect on non-MLL-translocated cells. In addition, EPZ004777 extended the survival of mice bearing a MLL xenograft model.

Description

References: Leukemia. 2013 Apr; 27(4):813-22; Cancer Cell. 2011 Jul 12; 20(1):53-65.

References:

Related CAS: 1380316-03-9 (HCl)

Molecular Weight (MW)
539.67
Formula
C28H41N7O4
CAS No.
1338466-77-5
Storage
-20C for 3 years in powder form
-80C for 2 years in solvent
Solubility (In vitro)
DMSO: 100 mg/mL (185.3 mM)
Water:< 1 mg/mL
Ethanol: 100 mg/mL (185.3 mM)
Other info
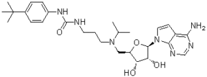
Chemical Name: 1-(3-((((2R, 3S, 4R, 5R)-5-(4-amino-7H-pyrrolo[2, 3-d]pyrimidin-7-yl)-3, 4-dihydroxytetrahydrofuran-2-yl)methyl)(isopropyl)amino)propyl)-3-(4-(tert-butyl)phenyl)urea
InChi Key: WXRGFPHDRFQODR-ICLZECGLSA-N
InChi Code: InChI=1S/C28H41N7O4/c1-17(2)34(13-6-12-30-27(38)33-19-9-7-18(8-10-19)28(3, 4)5)15-21-22(36)23(37)26(39-21)35-14-11-20-24(29)31-16-32-25(20)35/h7-11, 14, 16-17, 21-23, 26, 36-37H, 6, 12-13, 15H2, 1-5H3, (H2, 29, 31, 32)(H2, 30, 33, 38)/t21-, 22-, 23-, 26-/m1/s1
SMILES Code: O=C(NC1=CC=C(C(C)(C)C)C=C1)NCCCN(C[CH]2O[CH](N3C=CC4=C(N)N=CN=C43)[CH](O)[CH]2O)C(C)C
Synonyms
EPZ 004777; EPZ-004777; EPZ004777

Hinweis: Die dargestellten Informationen und Dokumente (Bedienungsanleitung, Produktdatenblatt, Sicherheitsdatenblatt und Analysezertifikat) entsprechen unserem letzten Update und sollten lediglich der Orientierung dienen. Wir übernehmen keine Garantie für die Aktualität. Für spezifische Anforderungen bitten wir Sie, uns eine Anfrage zu stellen.

Alle Produkte sind nur für Forschungszwecke bestimmt. Nicht für den menschlichen, tierärztlichen oder therapeutischen Gebrauch.

Menge: 25 mg
Lieferbar: In stock
lieferbar

Vergleichen

Auf den Wunschzettel

Angebot anfordern

Lieferzeit anfragen

Technische Frage stellen

Bulk-Anfrage stellen

Fragen zum Produkt?
 
Schließen