Vergleich

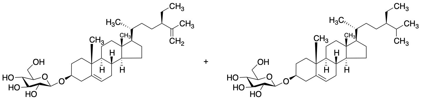
Charantin (1:1 mixture of 25,26-Dehydro β-Sitosterol β-D-Glucoside and β-Sitosterol β-D-Glucoside)

ArtNr TRC-C291840-100mg
Hersteller Toronto Research Chemicals
CAS-Nr. 57126-62-2
Menge 100 mg
Quantity options 100 mg 200 mg 25 mg 50 mg
Kategorie
Typ Biochemicals
Specific against other
InCHI 1S/C35H60O6/c1-7-22(20(2)3)9-8-21(4)26-12-13-27-25-11-10-23-18-24(14-16-34(23,5)28(25)15-17-35(26,27)6)40-33-32(39)31(38)30(37)29(19-36)41-33/h10,20-22,24-33,36-39H,7-9,11-19H2,1-6H3/t21-,22-,24+,25+,26-,27+,28+,29-,30-,31+,32-,33-,34+,35-/m1/s1
Smiles CC[C@H](CC[C@@H](C)[C@H]1CC[C@H]2[C@@H]3CC=C4C[C@H](CC[C@]4(C)[C@H]3CC[C@]12C)O[C@@H]5O[C@H](CO)[C@@H](O)[C@H](O)[C@H]5O)C(C)C.CC[C@H](CC[C@@H](C)[C@H]1CC[C@H]2[C@@H]3CC=C4C[C@H](CC[C@]4(C)[C@H]3CC[C@]12C)O[C@@H]5O[C@H](CO)[C@@H](O)[C@H](O)[C@H]5O)C(=C)C
ECLASS 10.1 32160490
ECLASS 11.0 32160490
UNSPSC 12000000
Alias mixture of Stigmasta-5,25-dien-3β-yl β-D-glucopyranoside and β-Sitosteryl glucoside
Versandbedingung Raumtemperatur
Gefahren-Info Shipping Info: Not a Dangerous good|Air Forbidden: False|UN #: UNNODG
Lieferbar
Manufacturer - Category
Building Blocks; Miscellaneous;
Country of Origin
Canada
Shipping Temperature
RT|Room Temperature
Molecular Weight
576.85; 574.83
Shipping Info
Not a Dangerous good
Air Forbidden
False
UN #
UNNODG
IUPAC
(2R, 3R, 4S, 5S, 6R)-2-[[(3S, 8S, 9S, 10R, 13R, 14S, 17R)-17-[(1R, 4R)-4-ethyl-1, 5-dimethyl-hexyl]-10, 13-dimethyl-2, 3, 4, 7, 8, 9, 11, 12, 14, 15, 16, 17-dodecahydro-1H-cyclopenta[a]phenanthren-3-yl]oxy]-6-(hydroxymethyl)tetrahydropyran-3, 4, 5-triol; (2R, 3R, 4S, 5S, 6R)-2-[[(3S, 8S, 9S, 10R, 13R, 14S, 17R)-17-[(1R, 4R)-4-ethyl-1, 5-dimethyl-hex-5-enyl]-10, 13-dimethyl-2, 3, 4, 7, 8, 9, 11, 12, 14, 15, 16, 17-dodecahydro-1H-cyclopenta[a]phenanthren-3-yl]oxy]-6-(hydroxymethyl)tetrahydropyran-3, 4, 5-triol

Hinweis: Die dargestellten Informationen und Dokumente (Bedienungsanleitung, Produktdatenblatt, Sicherheitsdatenblatt und Analysezertifikat) entsprechen unserem letzten Update und sollten lediglich der Orientierung dienen. Wir übernehmen keine Garantie für die Aktualität. Für spezifische Anforderungen bitten wir Sie, uns eine Anfrage zu stellen.

Alle Produkte sind nur für Forschungszwecke bestimmt. Nicht für den menschlichen, tierärztlichen oder therapeutischen Gebrauch.

Menge: 100 mg
Lieferbar: In stock
lieferbar

Vergleichen

Auf den Wunschzettel

Angebot anfordern

Lieferzeit anfragen

Technische Frage stellen

Bulk-Anfrage stellen

Fragen zum Produkt?
 
Schließen