Vergleich

Salbutamol Impurity O Sulfate Salt

ArtNr TRC-S085555-10mg
Hersteller Toronto Research Chemicals
Menge 10 mg
Quantity options 10 mg 1 mg 25 mg 50 mg 5 mg
Kategorie
Typ Biochemicals
Specific against other
Purity >95% (HPLC)
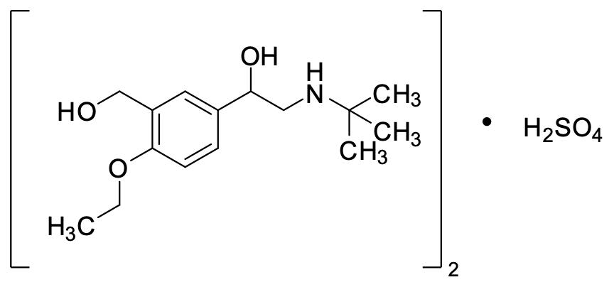
InCHI 1S/2C15H25NO3.H2O4S/c2*1-5-19-14-7-6-11(8-12(14)10-17)13(18)9-16-15(2,3)4;1-5(2,3)4/h2*6-8,13,16-18H,5,9-10H2,1-4H3;(H2,1,2,3,4)
Smiles CCOc1ccc(cc1CO)C(O)CNC(C)(C)C.CCOc2ccc(cc2CO)C(O)CNC(C)(C)C.OS(=O)(=O)O
ECLASS 10.1 32160490
ECLASS 11.0 32160490
UNSPSC 12000000
Alias 4-O-Ethylsalbutamol Sulfate Salt; 4-O-Ethylalbuterol Sulfate Salt (2:1);
Versandbedingung Raumtemperatur
Gefahren-Info Air Forbidden: False|Controlled Products: Not Controlled|UN #: UNCHECK
Lieferbar
Manufacturer - Category
Impurity standards; Neurological Drugs; Adrenergic receptors; Depression; Neurotransmission; Parkinson's; Schizophrenia; Stress and Anxiety; Pain and Inflammation
Country of Origin
Canada
Shipping Temperature
RT|Room Temperature
Storage Conditions
-20°C
Molecular Weight
632, 81
Air Forbidden
False
Controlled Products
Not Controlled
UN #
UNCHECK
IUPAC
2-(tert-butylamino)-1-[4-ethoxy-3-(hydroxymethyl)phenyl]ethanol; sulfuric acid

Hinweis: Die dargestellten Informationen und Dokumente (Bedienungsanleitung, Produktdatenblatt, Sicherheitsdatenblatt und Analysezertifikat) entsprechen unserem letzten Update und sollten lediglich der Orientierung dienen. Wir übernehmen keine Garantie für die Aktualität. Für spezifische Anforderungen bitten wir Sie, uns eine Anfrage zu stellen.

Alle Produkte sind nur für Forschungszwecke bestimmt. Nicht für den menschlichen, tierärztlichen oder therapeutischen Gebrauch.

Menge: 10 mg
Lieferbar: In stock
lieferbar

Vergleichen

Auf den Wunschzettel

Angebot anfordern

Lieferzeit anfragen

Technische Frage stellen

Bulk-Anfrage stellen

Fragen zum Produkt?
 
Schließen