Comparison

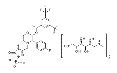
Fosaprepitant dimeglumine

Item no. DCC-DC4201-100mg
Manufacturer DCChemicals
CASRN 265121-04-8,50-70-4
Amount 100 mg
Quantity options 100 mg 10 mM x 1 ml in DMSO 1 g 250 mg
Category
Type Chemicals
Specific against other
Purity >98%
Smiles O=C1N=C(CN2[C@@H](C3=CC=C(F)C=C3)[C@@H](O[C@H](C)C4=CC(C(F)(F)F)=CC(C(F)(F)F)=C4)OCC2)NN1P(O)(O)=O.OC[C@@H](O)[C@@H](O)[C@H](O)[C@@H](O)CNC.OC[C@@H](O)[C@@H](O)[C@H](O)[C@@H](O)CNC
ECLASS 10.1 32160000
ECLASS 11.0 32160000
UNSPSC 12000000
Alias 265121-04-8
Similar products 265121-04-8
Available
Manufacturer - Applications
Fosaprepitant (MK-0517, L-758, 298) is a water-soluble phosphoryl prodrug for Aprepitant which is a NK1 antagonist.
Molecular Weight
1004, 84

Note: The presented information and documents (Manual, Product Datasheet, Safety Datasheet and Certificate of Analysis) correspond to our latest update and should serve for orientational purpose only. We do not guarantee the topicality. We would kindly ask you to make a request for specific requirements, if necessary.

All products are intended for research use only (RUO). Not for human, veterinary or therapeutic use.

Amount: 100 mg
Available: In stock
available

Delivery expected until 11/13/2025 

Compare

Add to wishlist

Get an offer

Request delivery time

Ask a technical question

Submit a bulk request

Questions about this Product?
 
Close