Comparison

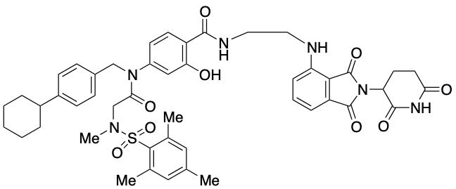
N-(2-Aminoethyl) Pomalidomide BP-1-108 Amide

Item no. TRC-A609225-2mg
Manufacturer Toronto Research Chemicals
Amount 2 mg
Quantity options 10 mg 1 mg 2 mg 5 mg
Category
Type Biochemicals
Specific against other
InCHI 1S/C47H52N6O9S/c1-28-23-29(2)43(30(3)24-28)63(61,62)51(4)27-41(56)52(26-31-13-15-33(16-14-31)32-9-6-5-7-10-32)34-17-18-35(39(54)25-34)44(57)49-22-21-48-37-12-8-11-36-42(37)47(60)53(46(36)59)38-19-20-40(55)50-45(38)58/h8,11-18,23-25,32,38,48,54H,5-7,9-10,1
Smiles CN(CC(=O)N(Cc1ccc(cc1)C2CCCCC2)c3ccc(C(=O)NCCNc4cccc5C(=O)N(C6CCC(=O)NC6=O)C(=O)c45)c(O)c3)S(=O)(=O)c7c(C)cc(C)cc7C
ECLASS 10.1 32160490
ECLASS 11.0 32160490
UNSPSC 12000000
Shipping Condition Room temperature
Hazard information UN #: UNCHECK
Available
Manufacturer - Category
Standards; Pharmaceutical/API Drug Impurities/Metabolites;
Country of Origin
Canada
Shipping Temperature
RT|Room Temperature
Molecular Weight
877, 016
UN #
UNCHECK
IUPAC
4-[(4-cyclohexylphenyl)methyl-[2-[methyl-(2, 4, 6-trimethylphenyl)sulfonylamino]acetyl]amino]-N-[2-[[2-(2, 6-dioxopiperidin-3-yl)-1, 3-dioxoisoindol-4-yl]amino]ethyl]-2-hydroxybenzamide

Note: The presented information and documents (Manual, Product Datasheet, Safety Datasheet and Certificate of Analysis) correspond to our latest update and should serve for orientational purpose only. We do not guarantee the topicality. We would kindly ask you to make a request for specific requirements, if necessary.

All products are intended for research use only (RUO). Not for human, veterinary or therapeutic use.

Amount: 2 mg
Available: In stock
available

Compare

Add to wishlist

Get an offer

Request delivery time

Ask a technical question

Submit a bulk request

Questions about this Product?
 
Close