Comparison

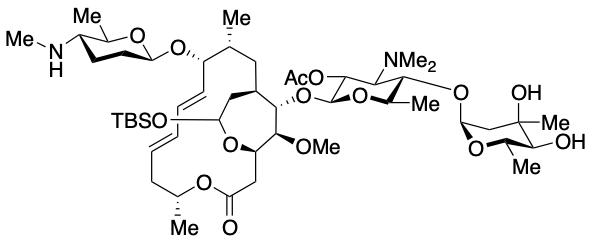
4,17-Dioxabicyclo[12.3.2]nonadecane-18-O-tert-butyldimethylsilyl N-Desmethyl Spiramycin I 2A-Acetate

Item no. TRC-D485260-50mg
Manufacturer Toronto Research Chemicals
Amount 50 mg
Quantity options 50 mg 5 mg
Category
Type Biochemicals
Specific against other
Purity 97%
InCHI 1S/C50H88N2O15Si/c1-28-24-34-25-40(67-68(15,16)49(7,8)9)64-37(26-38(54)58-29(2)20-18-17-19-21-36(28)63-39-23-22-35(51-11)30(3)59-39)45(57-14)44(34)66-48-46(62-33(6)53)42(52(12)13)43(31(4)61-48)65-41-27-50(10,56)47(55)32(5)60-41/h17-19,21,28-32,34-37,39-48
Smiles CN[C@H]1CC[C@H](O[C@H]2\C=C\C=C\C[C@@H](C)OC(=O)C[C@H]3OC(C[C@@H](C[C@H]2C)[C@H](O[C@@H]4O[C@H](C)[C@@H](O[C@H]5C[C@@](C)(O)[C@@H](O)[C@H](C)O5)[C@@H]([C@H]4OC(=O)C)N(C)C)[C@H]3OC)O[Si](C)(C)C(C)(C)C)O[C@@H]1C
ECLASS 10.1 32160490
ECLASS 11.0 32160490
UNSPSC 12000000
Alias [9(2R,5S,6R)]-18-Deoxo-3-deoxy-9-O-[5-(methylamino)tetrahydro-6-methyl-2H-pyran-2-yl]-18-[[(1,1-dimethylethyl)dimethylsilyl]oxy]-3,18-epoxy-leucomycin V Acetate
Shipping Condition Room temperature
Hazard information Air Forbidden: False|Controlled Products: Not Controlled|UN #: UNCHECK
Available
Manufacturer - Category
Macrolides
Country of Origin
Canada
Shipping Temperature
RT|Room Temperature
Storage Conditions
-20°C
Molecular Weight
985, 324
Air Forbidden
False
Controlled Products
Not Controlled
UN #
UNCHECK
IUPAC
[(2S, 3R, 4S, 5S, 6R)-2-[[(1R, 5R, 7E, 9E, 11R, 12R, 14R, 18S, 19S)-16-[tert-butyl(dimethyl)silyl]oxy-18-methoxy-5, 12-dimethyl-11-[(2R, 5S, 6R)-6-methyl-5-(methylamino)oxan-2-yl]oxy-3-oxo-4, 17-dioxabicyclo[12.3.2]nonadeca-7, 9-dien-19-yl]oxy]-5-[(2S, 4R, 5S, 6S)-4, 5-dihydroxy-4, 6-dimethyloxan-2-yl]oxy-4-(dimethylamino)-6-methyloxan-3-yl] acetate

Note: The presented information and documents (Manual, Product Datasheet, Safety Datasheet and Certificate of Analysis) correspond to our latest update and should serve for orientational purpose only. We do not guarantee the topicality. We would kindly ask you to make a request for specific requirements, if necessary.

All products are intended for research use only (RUO). Not for human, veterinary or therapeutic use.

Amount: 50 mg
Available: In stock
available

Compare

Add to wishlist

Get an offer

Request delivery time

Ask a technical question

Submit a bulk request

Questions about this Product?
 
Close