Comparison

Human HE4/WFDC2 Matched ELISA Antibody Pair Set European Partner

Item no. SEK12609-5
Manufacturer Sino Biological
Amount 5 Plates
Quantity options 15 Plates 5 Plates
Category
Type ELISA Pair Set
Specific against other
ECLASS 10.1 32160605
ECLASS 11.0 32160605
UNSPSC 41116126
Alias sino
Available
Manufacturer - Type
ELISA
Storage Conditions
-20C
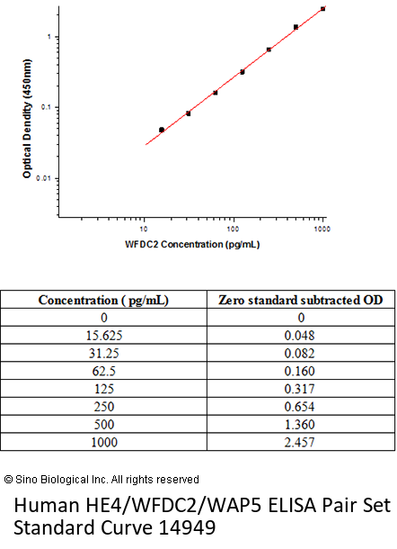
Antigen molecule name
WFDC2

Note: The presented information and documents (Manual, Product Datasheet, Safety Datasheet and Certificate of Analysis) correspond to our latest update and should serve for orientational purpose only. We do not guarantee the topicality. We would kindly ask you to make a request for specific requirements, if necessary.

All products are intended for research use only (RUO). Not for human, veterinary or therapeutic use.

Amount: 5 Plates
Available: In stock
available

Compare

Add to wishlist

Get an offer

Request delivery time

Ask a technical question

Submit a bulk request

Questions about this Product?
 
Close