Comparison

Human RANKL/TNFSF11 Matched ELISA Antibody Pair Set European Partner

Item no. SEK11682-5
Manufacturer Sino Biological
Amount 5 Plates
Quantity options 15 Plates 5 Plates
Category
Type ELISA Pair Set
Applications ELISA
Specific against Human (Homo sapiens)
Conjugate/Tag HRP
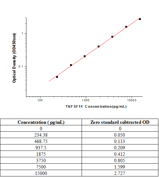
Sensitivity The minimum detectable dose of Human RANKL / OPGL / TNFSF11 / CD254 was determined to be approximately <strong>234.38 pg/ml</strong>. This is defined as at least three times standard deviations above the mean optical density of 10 replicates of the zero s
ECLASS 10.1 32160605
ECLASS 11.0 32160605
UNSPSC 41116126
Alias sino
Available
Manufacturer - Type
ELISA
Storage Conditions
Capture Antibody: Aliquot and store at -20C to -80C for up to 6 months from date of receipt. Avoid repeated freeze-thaw cycles.

Detection Antibody: Store at 4C and protect it from prolonged exposure to light for up to 6 months from date of receipt. DO NOT FREEZE!

Standard: Store lyophilized standard at -20C to -80C for up to 6 months from date of receipt. Aliquot and store the reconstituted Standard at -80C for up to 1 month. Avoid repeated freeze-thaw cycles.
Antigen molecule name
TNFSF11
Capture Ab
0.5 mg/mL of rabbit anti-Human RANKL / OPGL / TNFSF11 / CD254 monoclonal antibody (in PBS, pH 7.4). Dilute to a working concentration of 2 ug/mL in PBS before coating.
Detection Ab
0.2 mg/mL of rabbit anti-Human RANKL / OPGL / TNFSF11 / CD254 monoclonal antibody conjugated to horseradish-peroxidase (HRP) (in PBS, 50 % HRP-Protector, pH 7.4, store at 4C). Dilute to working concentration of 0.1 ug/mL in detection antibody dilution buffer before use.
Standard
Each vial contains 570 ng of recombinant Human RANKL / OPGL / TNFSF11 / CD254. Reconstitute with 1 mL detection antibody dilution buffer. After reconstitution, store at -20C to -80C in a manual defrost freezer. A seven-point standard curve using 2-fold serial dilutions in sample dilution buffer, and a high standard of 15000 pg/mL is recommended.
Principle of the test
The Human RANKL / OPGL / TNFSF11 / CD254 ELISA Pair Set is for the quantitative determination of Human RANKL / OPGL / TNFSF11 / CD254.
The Sino Biological ELISA Pair Set is a solid phase sandwich ELISA (Enzyme-Linked Immunosorbent Assay). It utilizes a monoclonal antibody specific for Human RANKL / OPGL / TNFSF11 / CD254 coated on a 96-well plate. Standards and samples are added to the wells, and any Human RANKL / OPGL / TNFSF11 / CD254 present binds to the immobilized antibody. The wells are washed and a horseradish peroxidase conjugated rabbit anti-Human RANKL / OPGL / TNFSF11 / CD254 monoclonal antibody is then added, producing an antibody-antigen-antibody "sandwich". The wells are again washed and TMB substrate solution is loaded, which produces color in proportion to the amount of Human RANKL / OPGL / TNFSF11 / CD254 present in the sample. To end the enzyme reaction, the stop solution is added and absorbances of the microwell are read at 450 nm.

Note: The presented information and documents (Manual, Product Datasheet, Safety Datasheet and Certificate of Analysis) correspond to our latest update and should serve for orientational purpose only. We do not guarantee the topicality. We would kindly ask you to make a request for specific requirements, if necessary.

All products are intended for research use only (RUO). Not for human, veterinary or therapeutic use.

Amount: 5 Plates
Available: In stock
available

Compare

Add to wishlist

Get an offer

Request delivery time

Ask a technical question

Submit a bulk request

Questions about this Product?
 
Close